AS193-000 PHEMT GaAs IC High-Linearity 3 V
Control SPDT 0.1–2.5 GHz Switch Chip
The AS193-000 is a PHEMT GaAs FET IC high-linearity SPDT switch. This switch has been designed for use where extremely high linearity, low control voltage, high isolation and low insertion loss are needed. Some standard implementations include antenna changeover, T/R and diversity switching over 3 W. The AS193-000 switch is ideal for GaAs based antenna switch front-end modules.
技术特性
- 2.5 to 5 V linear operation
- Harmonics H2, H3 < -65 dBc @ Pin = 34.5 dBm
- Low insertion loss (0.35 dB @ 0.9 GHz)
- High isolation (24 dB @ 0.9 GHz)
- Lead (Pb)-free, RoHS-compliant, and Green
订购信息 Ordering Information
|
应用领域 APPLICATION
- Typical applications include GSM, PCS, WCDMA, 2.4 GHz ISM
and 3.5 GHz wireless local loop
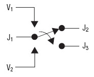
功能框图 Functional Block Diagram

|